近日,我校公共卫生学院陈燕老师与刘桂友特聘教授团队合作在《Translational Psychiatry》(中科院1区Top,5年IF=6.3)和《CNS Neuroscience & Therapeutics》(中科院1区,5年IF=5.9)期刊上分别发表题为《Causal relationships between dyslexia and the risk of eight dementias》以及《Shared genetics and causal association between plasma levels of SARS-CoV-2 entry receptor ACE2 and Alzheimer's disease》的学术论文。陈燕和刘桂友为论文通讯作者,欧美黑人巨大videos精品_欧美黑人巨大xxxxx_欧美黑人乱大交_欧美黑人乱大交_欧美黑人牲交videossexeso_欧美黑人添添高潮a片www_欧美黑人添添高潮a片www_欧美黑人性暴力猛交喷水黑人巨大为共同通讯单位。
成果一:阿尔茨海默病(Alzheimer’s disease,AD)是最常见的神经系统退行性疾病,观察性和遗传学研究表明阅读障碍与AD发病风险具有相关性。然而,阅读障碍与AD风险之间的因果关系尚不清楚。团队基于大样本基因组学数据,利用双样本单变量孟德尔随机化分析,评估了阅读障碍与AD、血管性痴呆(VD)、路易体痴呆(LBD)和额颞叶痴呆(FTD)及其四种亚型风险之间的因果关系。团队发现,阅读障碍增加与AD风险增加之间存在一定因果关联(OR=1.15,95%CI:1.04-1.28,P=0.006),但与VD、LBD、FTD或其四种亚型无关联;敏感性分析也均证实了因果估计值的可靠性。多变量分析和中介分析发现,在调整认知功能后,阅读障碍与AD之间因果关联无统计学意义,由此推断认知功能介导了阅读障碍对AD的总影响(占比46.32%)。综上,该研究提供了遗传学证据,鉴定出阅读障碍与AD风险的因果关联,阅读活动有望成为改善认知功能、预防AD的干预策略。

Fig. 1 Study design and workflow

Fig. 2 Univariable Mendelian randomization analysis results between dyslexia and eight dementias

Fig. 3 MR mediation analysis of the effect of dyslexia on AD via CP or EA
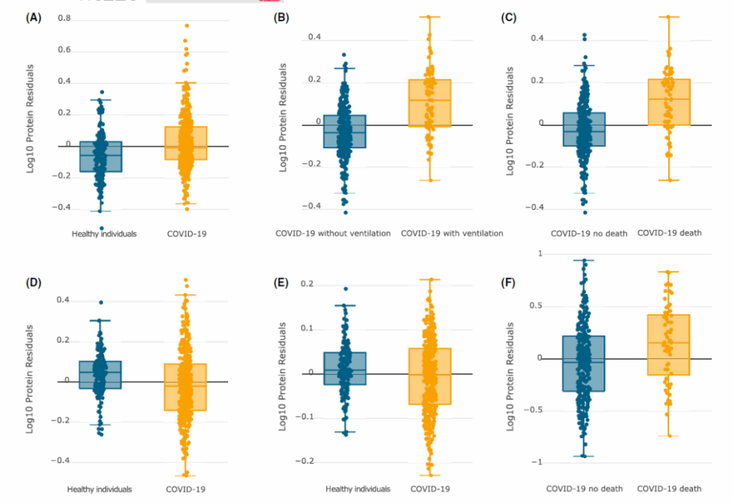
成果二:AD是COVID-19感染、住院和死亡的最高风险因素。然而,AD与COVID-19结局之间的联系在很大程度上仍不清楚。研究表明,ACE2是SARS-CoV-2的进入受体,循环ACE2是一种新的死亡生物标志物,与COVID-19结局相关。课题组使用大规模全基因组关联研究、基因表达、表达数量性状位点和高通量血浆蛋白质组学分析数据集,探索了AD和血浆ACE2水平之间的共享遗传和因果关系。团队发现循环ACE2水平与AD风险具有一定因果关联,循环ACE2水平每增加一个标准差,AD风险增加12%。跨性状交叉关联分析鉴定出19种共同的遗传变异,其中位于染色体6p21.32上的三个遗传变异rs3104412、rs2395166和rs3135344与COVID-19感染、住院和严重程度显著相关。团队将19个遗传变异映射到117个基因,发现这些基因在肺、脾和小肠中显著上调,在脑组织中下调,并参与免疫系统、免疫疾病和传染病途径。其中LST1、AGER、TNXB和APOC1基因的血浆蛋白水平与COVID-19结局(包含感染和死亡)显著相关,这一发现将有助于解释AD与COVID-19之间的关联。(陈燕、刘桂友/文、图)

Fig. 4 Heat map of tissue-specific gene expression of genes corresponding to shared genetic variants from cross-trait meta-analysis of AD and circulating ACE2

Fig. 5 Abundance distributions of plasma proteins corresponding to LST1, AGER, TNXB, and APOC1 in different COVID-19 outcomes
成果一原文链接:https://www.nature.com/articles/s41398-024-03082-9
成果二原文链接:https://onlinelibrary.wiley.com/doi/10.1111/cns.14873



皖公网安备 34020302000135号